Ответы
Ответ дал:
0
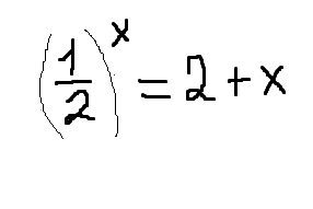
одна функция монотонно убывает (на всей ОДЗ),
другая функция монотонно возрастает,
следовательно, возможна только одна точка пересечения...
другая функция монотонно возрастает,
следовательно, возможна только одна точка пересечения...
Приложения:
Вас заинтересует
3 года назад
3 года назад
8 лет назад
8 лет назад
10 лет назад
10 лет назад
11 лет назад