Ответы
Ответ дал:
0
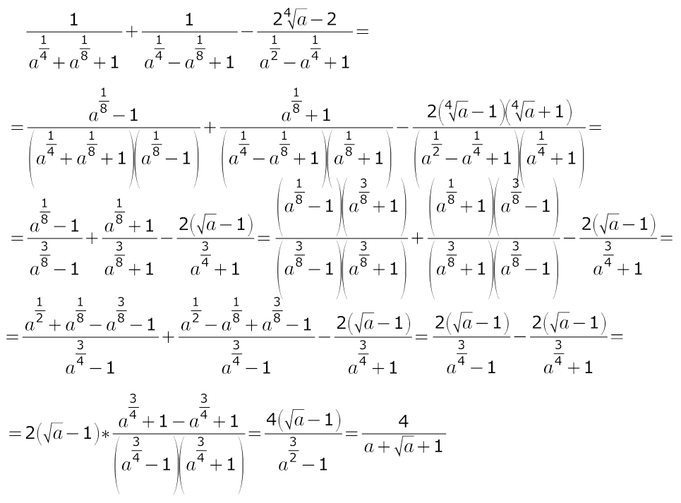
в знаменателях дробей неполные квадраты --это часть формул
сумма (разность) кубов...
осталось домножить на недостающую скобку...
сумма (разность) кубов...
осталось домножить на недостающую скобку...
Приложения:
Вас заинтересует
3 года назад
3 года назад
8 лет назад
10 лет назад
11 лет назад