Ответы
Ответ дал:
0
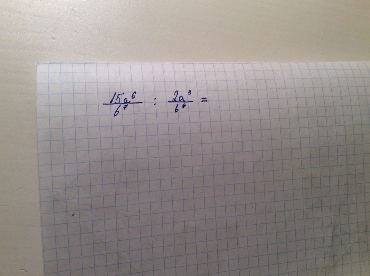
деление одной дроби на другую заменяется умножением на перевернутую вторую дробь, то есть
=15а⁶/b⁷ * b⁴/2a³ = 15a³/b³ 15(a/b)³
а³ получилось потому, что а⁶/а³ = а в степени (6-3) = а³, так же получается
b⁴/b⁷ = b в степени(4-7) =1/b³
=15а⁶/b⁷ * b⁴/2a³ = 15a³/b³ 15(a/b)³
а³ получилось потому, что а⁶/а³ = а в степени (6-3) = а³, так же получается
b⁴/b⁷ = b в степени(4-7) =1/b³
Вас заинтересует
3 года назад
3 года назад
8 лет назад
8 лет назад
10 лет назад
10 лет назад
11 лет назад