ПОМОГИТЕ ОЧЕНЬ НАДО определите с какой скоростью должен ехать по выпуклому мосту мотоциклист масса которого с мотоциклом 310 кг чтобы сила давления на мост равнялась 0 Радиус кривизны моста 180м
Ответы
Ответ дал:
0
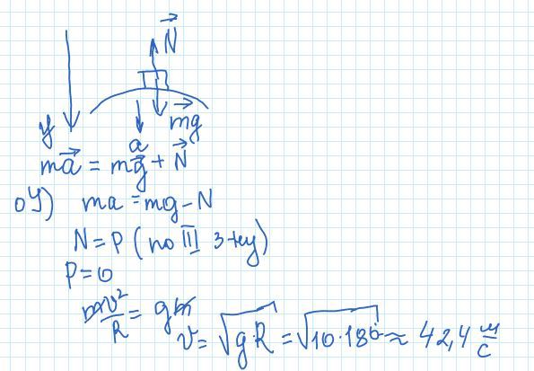
По алгоритму решения задач обязательно сделать рисунок, расставить силы, действующие на мотоциклиста- сила тяжести, сила реакции опоры. Равнодействующая направлена к центру и выражается через центростремительное ускорение. Вес равен 0, поэтому равно 0 сила реакции. Масса сокращается
Приложения:

Вас заинтересует
2 года назад
2 года назад
7 лет назад
7 лет назад
10 лет назад
10 лет назад