Ответы
Ответ дал:
0
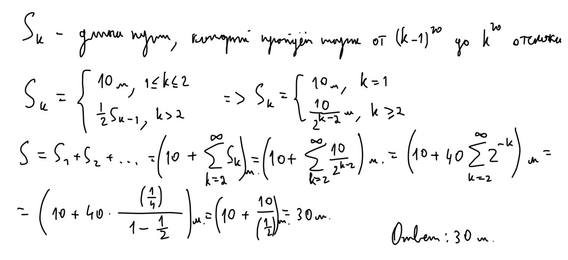
Решение на картинке.
Приложения:

Ответ дал:
0
спасибо! решите если не лень и эту http://znanija.com/task/14462515
Ответ дал:
0
Это бесконечно убывающая геометрическая прогрессия
a1=10 q=1/2
S=a1/(1-q)
S=10:(1-1/2)=10:1/2=10*2=20(м)
a1=10 q=1/2
S=a1/(1-q)
S=10:(1-1/2)=10:1/2=10*2=20(м)
Приложения:

Вас заинтересует
2 года назад
2 года назад
7 лет назад
10 лет назад
10 лет назад
10 лет назад