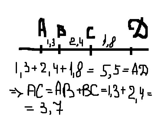
на плоскости расположены точки А, В, С, Д. Известно, что АВ=1,3 ВС=2,4 СД=1,8 АД=5,5.
Найти АС.
Задачу решаить по теоремам, а не графическим способом.
Ответы
Ответ дал:
0
АС=АВ+ВС=1,3+2,4=3,7
Приложения:

Вас заинтересует
2 года назад
8 лет назад
8 лет назад
10 лет назад
10 лет назад