Ответы
Ответ дал:
0
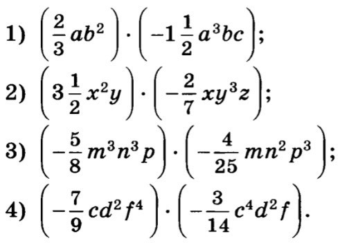
-1 целая1/2 надо перевести в -3/2
Приложения:

Вас заинтересует
2 года назад
7 лет назад
10 лет назад
10 лет назад