• Предмет: Алгебра
  • Автор: Bitb
  • Вопрос задан 11 лет назад

Решите пожалуйста хотя бы сколько сможете!)

Приложения:

Ответы

Ответ дал: dtnth
0

МОДЕРАТОР найдешь ошибку, прими за улыбку *)

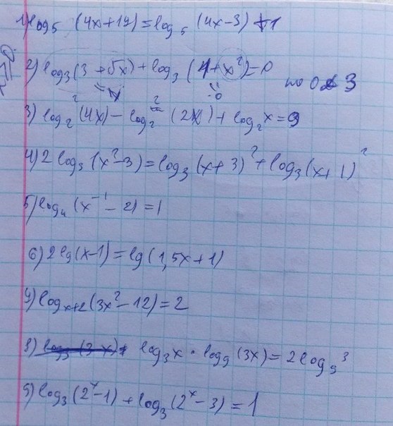
1) log_5 (4x+19)=log_5 (4x-3)+1;\ 4x+19>0; 4x-3>0;\ log_5 (4x+19)=log_5 (4x-3)+log_5 5;\ log_5 (4x+19)=log_5 5(4x-3);\ 4x+19=5(4x-3);\ 4x+19=20x-15;\ 20x-4x=19+15; 16x=34; 8x=17; x=frac{17}{8}=2.125

 

2) log_3 (3+sqrt{x})+log_3(1+x^2)=0;\ log_3 (3+sqrt{x})(1+x^2)=0;\ (3+sqrt{x})(1+x^2)=3^0;\ (3+sqrt{x})(1+x^2)=1;\ 3+sqrt{x} geq 3;\ 1+x^2 geq 1; (3+sqrt{x})(1+x^2) geq 3*1=3 >1

решений нет

 

3) log^2_2(4x)-log^2_2 (2x)+log_2 x=9; \ x>0;\ (2+log_2 x)^2-(1+log_2 x)^2+log_2 x=9;\ log^2_2 x+4log_2 x+4-log^2_2 x-2log_2 x-1+log_2 x-9=0;\ 3log_2 x-6=0;\ log_2 x=2;\ x=2^2=4;

 

4) 2log_3 (x^2-3)=log_3 (x+3)^2+log_3 (x+1)^2;\ x^2-3>0; x+3 neq 0; x+1 neq 0;\ log_3 (x^2-3)^2=log_3 (x+3)^2(x+1)^2;\ (x^2-3)^2=(x+3)^2(x+1)^2;\ (x^2-3)^2=(x+3)^2(x+1)^2;\ (x^2-3)^2=((x+3)(x+1))^2;\ (x^2-3)^2=(x^2+4x+3)^2;\ /1. x^2-3=x^2+4x+3;\ 4x+3=-3;\ 4x=-6;\ x_1=-1.5;\ /2. x^2-3=-x^2-4x-3;\ 2x^2+4x=0;\ x^2+2x=0;\ x_2=0;\ x_3=-2;\ x=-2

 

5) log_4 (x^{-1}-2)=1;\ x neq 0; frac{1}{x}-2>0;\ frac{1}{x}-2=4^1;\ frac{1}{x}-2=4;\ frac{1}{x}=6;\ x=frac{1}{6}

 

6) 2lg (x-1)=lg(1.5x+1); \ x-1>0; 1.5x+1>0;\ lg(x-1)^2=lg(1.5x+1);\ (x-1)^2=1.5x+1;\ x^2-2x+1=1.5x+1;\ x^2-3.5x=0;\ x_1=0;\ x_2=3.5;\ x=3.5

 

7) log{x+2} (3x^2-12)=2; x+2>0; x+2 neq 1; 3x^2-12>0;\ 3x^2-12=(x+2)^2;\ 3x^2-12=x^2+4x+4;\ 2x^2-4x-16=0;\ x^2-2x-8=0;\ (x-4)(x+2)=0;\ x_1=4;\ x_2=-2;\

решений нет

 

8) log_3 x *log_9 (3x)=2log_9 3;\ x>0;\ 0.5log_3 x*(1+log_3 x)=1;\ log^2_3 x+log_3 x-2=0;\ (log_3 x+2)(log_3 x-1)=0;\ /1. log_3 x=-2;\ x_1=3^{-2}=frac{1}{9};\ /2. log_3 x=1;\ x_2=3^1=3;\

 

9) log_3 (2^x-1)+log_3 (2^x-3)=1;\ log_3 ((2^x-1)(2^x-3))=1;\ (2^x-1)(2^x-3)=3^1;\ (2^x)^2-4*2^x+3=3;\ (2^x)^2-4*2^x=0;\ 2^x>0;\ 2^x=4;\ 2^x=2^2;\ x=2

Вас заинтересует