Ответы
Ответ дал:
0
Смотри ))))))))))))))))))))
Приложения:

Ответ дал:
0
Во 2- м примере ответ х=6 и все
Ответ дал:
0
Да
Ответ дал:
0
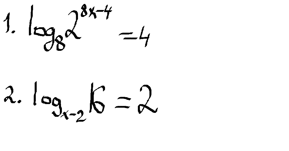
1. 2^(8x-4)=8^4 2. ОДЗ х>2, x не равняется 3
(x-2)^2=16
2^(8x-4)=2^12 x-2=4, x=6
8x-4=12 x-2=-4, x=-2 посторонний
8x=16
x=2
(x-2)^2=16
2^(8x-4)=2^12 x-2=4, x=6
8x-4=12 x-2=-4, x=-2 посторонний
8x=16
x=2
Приложения:

Вас заинтересует
2 года назад
7 лет назад
7 лет назад
10 лет назад
10 лет назад
10 лет назад