• Предмет: Алгебра
  • Автор: сашаwolwo
  • Вопрос задан 10 лет назад

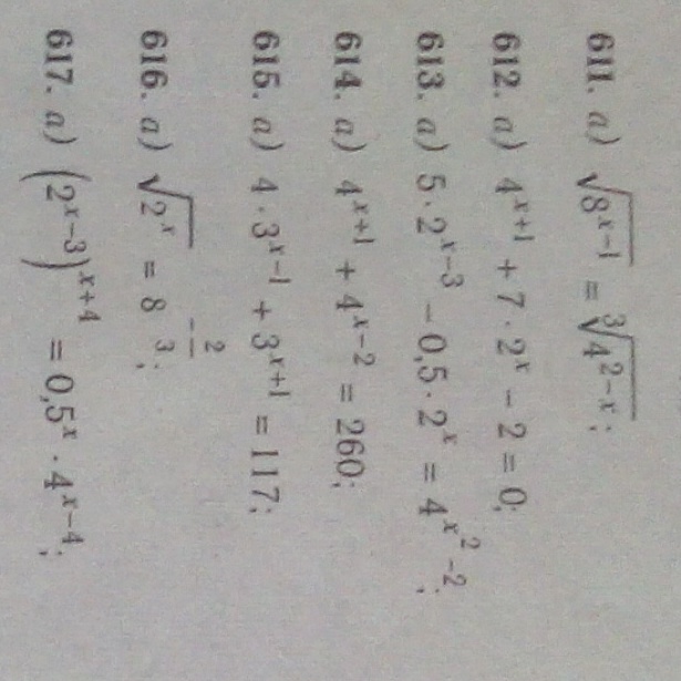
 Решить уравнение под номером 612.

Приложения:

Ответы

Ответ дал: prostotom
0
 4^{x+1}+7* 2^{x}-2=0,
4* 4^{x} +7* 2^{x}-2=0,
4* 2^{2x}+7* 2^{x}-2=0,
Пусть  2^{x}=y, y textgreater  0, тогда
4y²+7y-2=0, D=b²-4ac, D=7²-4*4*(-2)=81=9².
y_{1} = frac{-b- sqrt{D} }{2a},  y_{1}= frac{-7+9}{2*4}=-2 textless  0 - не подходит.
y_{2}= frac{-b+ sqrt{D} }{2a}, y_{2}= frac{-7+9}{2*4}= frac{1}{4} textgreater  0 - подходит.
Значит,  2^{x}= frac{1}{4}.
Тогда, x=log_{2} frac{1}{4}=-2.
Проверка:
4^{-2+1}+7*2^{-2}-2=0 - верно.
Ответ: x=-2.
Ответ дал: сашаwolwo
0
Ваш ответ с моим ответом не совпадает, нужно передалть мне, но всё равно спасибо)
Ответ дал: prostotom
0
у меня проверка сделана, которая показывает, что ответ верен.
Ответ дал: prostotom
0
всегда делайте проверку - не ошибётесь.
Ответ дал: сашаwolwo
0
а я не делал(, получилось иначе у меня с знаком +
Вас заинтересует