Ответы
Ответ дал:
0
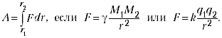
через интеграл вроде записывается по такой формуле:
Приложения:

Ответ дал:
0
где dV - дельта V
Приложения:

Вас заинтересует
2 года назад
8 лет назад
10 лет назад
10 лет назад