• Предмет: Алгебра
  • Автор: Аноним
  • Вопрос задан 11 лет назад

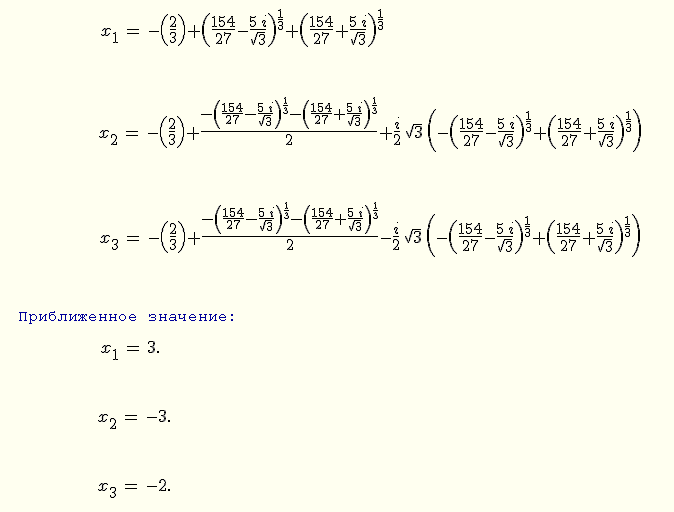
X( в 3 степени ) +2x(в квадрате) -9x-18= 0 . Решите пожалуйста :)

Ответы

Ответ дал: Trombozit
0

смотри картинку, если что обращайся )))   такие выражения проще всего решать на сайте http://integraloff.net/kub_urav/index.php      УДАЧИ )))

Приложения:
Вас заинтересует