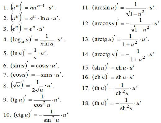
Найти производную функции (на фотографии (a=y-ln(1+e^y))` )
Пытался сделать по (ln u)´ =u´/u
очень сложно понять
и что делать с y в начале? просто выносить или как?
Буду очень рад помощи!
Приложения:


Ответы
Ответ дал:
0
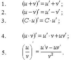
посмотри на фото, может так?
Приложения:


Ответ дал:
0
тут как никак понимать разбираться надо! Дальше будут ещё сложнее примеры, а если и эти не разобрать..
Ответ дал:
0
это точно!
Ответ дал:
0
теперь вообще всё понятно!!! :)
Ответ дал:
0
Просто огромнейшее спасибо!
Ответ дал:
0
не за что! обращайся!
Вас заинтересует
2 года назад
7 лет назад
7 лет назад
10 лет назад
10 лет назад
10 лет назад