• Предмет: Алгебра
  • Автор: usovasannia
  • Вопрос задан 10 лет назад

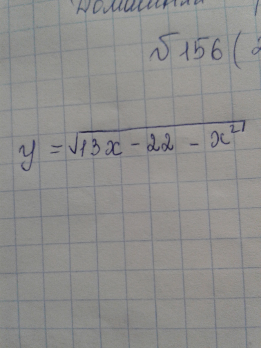
найти область определения функции:

Приложения:

Ответы

Ответ дал: eugeke
0
y= sqrt{13x-22-x^2}

 sqrt{13x-22-x^2}=0\
-x^2+13x-22= 0\
x^2-13x+22=0\
D=169-88=81;   sqrt{D}=9\\
x_{1/2}= frac{13pm9}{2}\\
x_1=11,  x^2=2  \\
x in [2, 11]

Область определения: x in [2, 11]

Вас заинтересует