• Предмет: Алгебра
  • Автор: milka50
  • Вопрос задан 10 лет назад

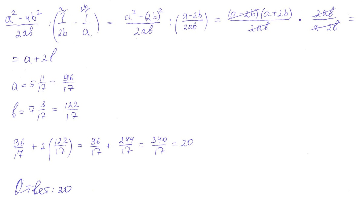
упростить и подставить a и b

Приложения:

Ответы

Ответ дал: NiGhtWolFs
0
Решение на фото...
Ответ: 20
Приложения:
Ответ дал: milka50
0
спасибо большое))
Вас заинтересует