прорешайте пожалуйста всё, я знаю как надо решать и я знаю, что это всё через дискриминант, но я очень долго решаю и путаюсь
поэтому очень прошу решите всё !!!!!!
даю 50 баллов, если только решите всё !!!!!!
Приложения:

Ответы
Ответ дал:
0
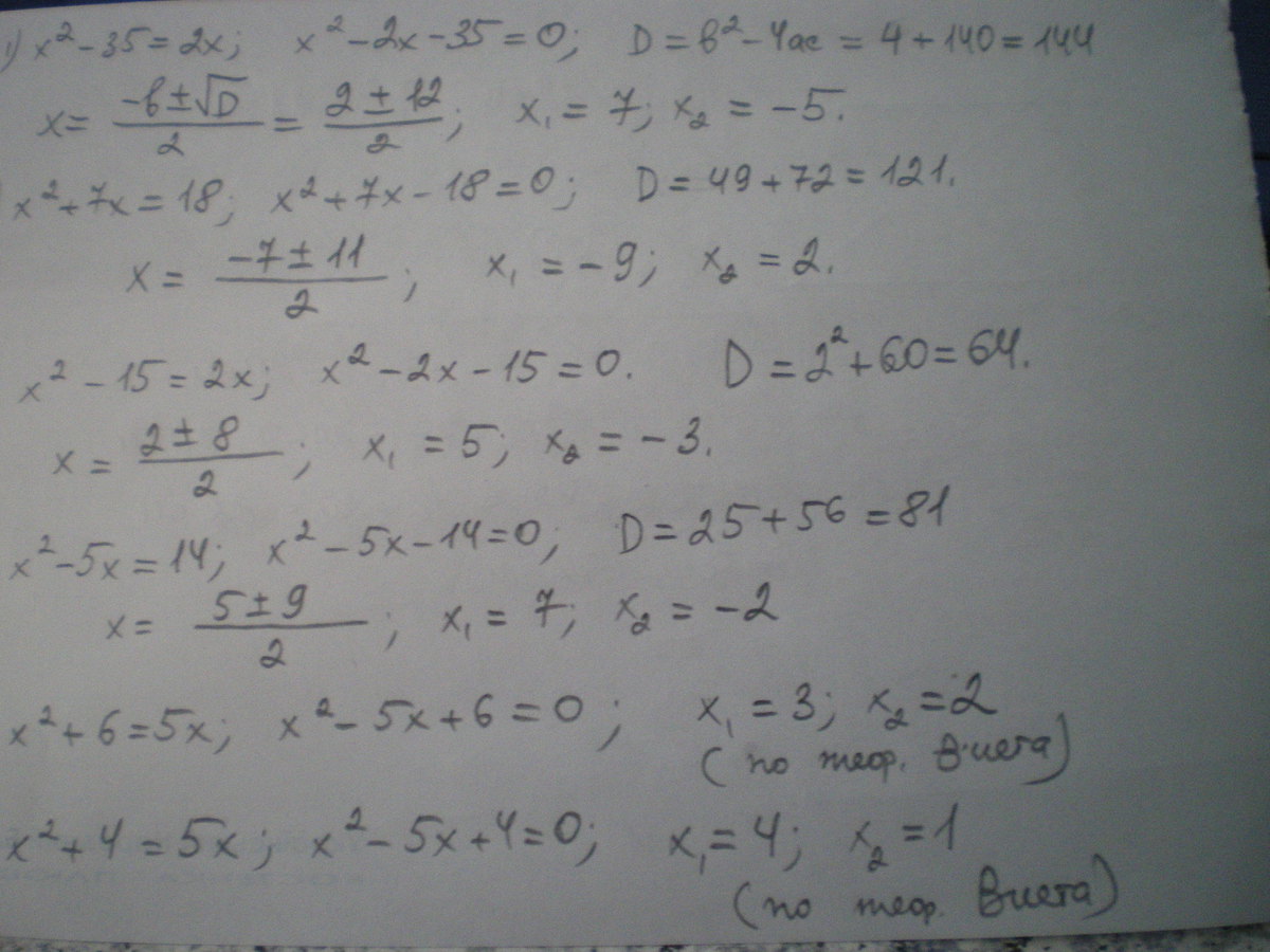
решаем уравнения
..............
..............
Приложения:


Ответ дал:
0
респект чувак, я бы не выдержал столько квадратных уравнений ахахха)
Ответ дал:
0
я просто бешусь если не получается, и не могу решить, а мне до завтра надо срочняком сделать, у меня ещё 3 листра другиз заданий )
Спасибо тебе большое, ты мне правда очень помог !!!
Спасибо тебе большое, ты мне правда очень помог !!!
Ответ дал:
0
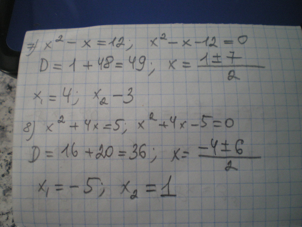
Решение смотри в приложении
Приложения:

Ответ дал:
0
Спасибо большое !!!!
Вас заинтересует
2 года назад
7 лет назад
7 лет назад
10 лет назад
10 лет назад
10 лет назад