помогите,пожалуйста!
1. Определите,какие из перечисленных точек принадлежат графику функции y=4x-1
A(1;3) B(0;-1) C(-1;-5) D(2;9)
2.Решите уравнение log7(5x+4)=1
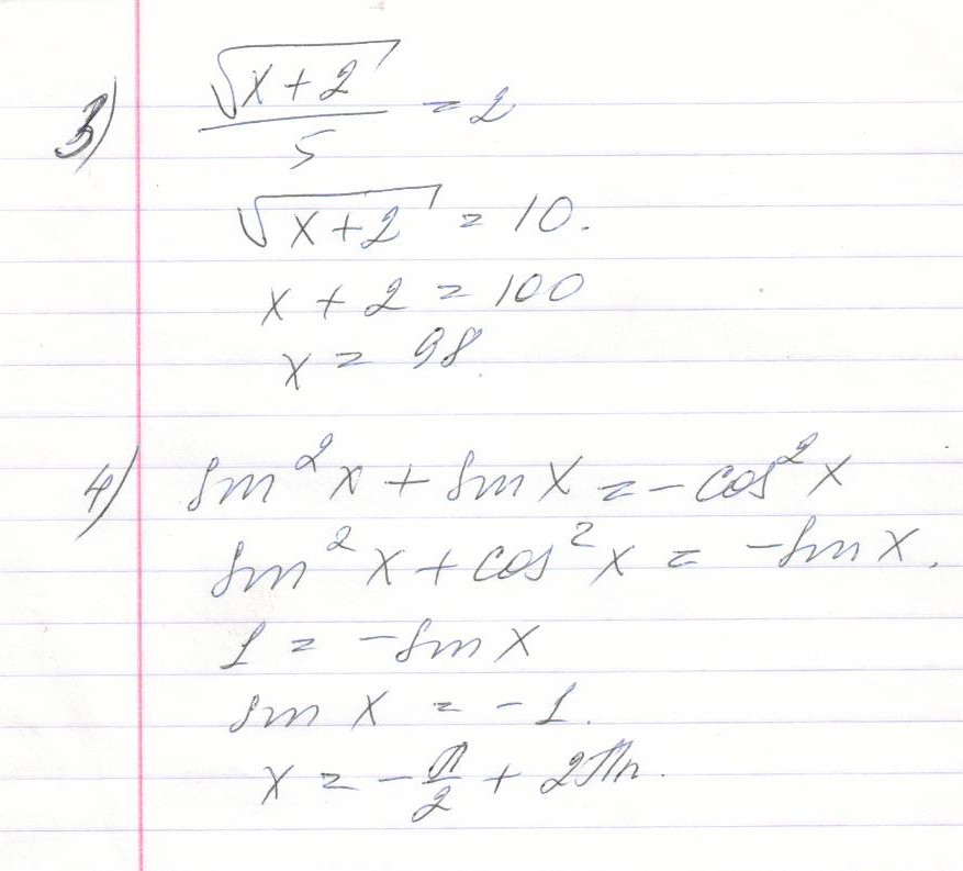
3. Решите уравнение
числитель под корнем,знаменатель нет
x+2/5=2
4.sin^2x+sinx=-cos^2x
Ответы
Ответ дал:
0
1) т. А (1;3) принадлежит графику, потому что подставляем точки х=1, у=3 в уравнение y=4x-1=4*1-1=3, оно верно.
Так же проверяем остальные точки: В(0;-1), C(-1;-5) - тоже принадлежат.
2)log7(5x+4)=1
7^1 = 5x+4 (^1 - в степени 1)
7-4 = 5х
5х=3
х=3/5
3 и 4 задания на картинке
Так же проверяем остальные точки: В(0;-1), C(-1;-5) - тоже принадлежат.
2)log7(5x+4)=1
7^1 = 5x+4 (^1 - в степени 1)
7-4 = 5х
5х=3
х=3/5
3 и 4 задания на картинке
Приложения:

Ответ дал:
0
Если Вы считаете, что я вам, действительно, помогла, то, пожалуйста, выберите мой ответ, как лучший. Я очень хочу набрать рейтинг. Заранее спасибо
Вас заинтересует
2 года назад
7 лет назад
7 лет назад
10 лет назад
10 лет назад