Ответы
Ответ дал:
0
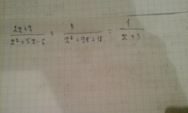
Раскладываем знаменатели первого и второго слагаемого на множители(через дискриминант). Получаем:
2х+7 / (x-1)*(x+6) + 3 / (x+3)*(x+6) = 1 / x+3
Приводим к общему знаменателю:
(2х+7)*(х+3) + 3*(х-1) - 1*(х-1)*(х+6) / (x-1)*(x+6)*(x+3) = 0
2x^2+6x+7x+21+3x-3-x^2-5x+6 / (x-1)*(x+6)*(x+3) = 0
Дробь равна 0, когда ее числитель равен 0, поэтому отбрасываем знаменатель.
x^2+11x+24=0
D=121-4*24=25
x1=-11+5 / 2 = -3
x2=-11-5 / 2 = -8
Т.к. на ноль нельзя делить, то проверим удовлетворяют ли эти значения тому, что знаменатель не равен 0
Видим, что -3 не подходит, т.к. -3+3 = 0
Значит ответ х= - 8
2х+7 / (x-1)*(x+6) + 3 / (x+3)*(x+6) = 1 / x+3
Приводим к общему знаменателю:
(2х+7)*(х+3) + 3*(х-1) - 1*(х-1)*(х+6) / (x-1)*(x+6)*(x+3) = 0
2x^2+6x+7x+21+3x-3-x^2-5x+6 / (x-1)*(x+6)*(x+3) = 0
Дробь равна 0, когда ее числитель равен 0, поэтому отбрасываем знаменатель.
x^2+11x+24=0
D=121-4*24=25
x1=-11+5 / 2 = -3
x2=-11-5 / 2 = -8
Т.к. на ноль нельзя делить, то проверим удовлетворяют ли эти значения тому, что знаменатель не равен 0
Видим, что -3 не подходит, т.к. -3+3 = 0
Значит ответ х= - 8
Ответ дал:
0
Огромное спасибо!!!
Вас заинтересует
3 года назад
8 лет назад
8 лет назад
10 лет назад
11 лет назад