• Предмет: Алгебра
  • Автор: artemgusha1999
  • Вопрос задан 10 лет назад

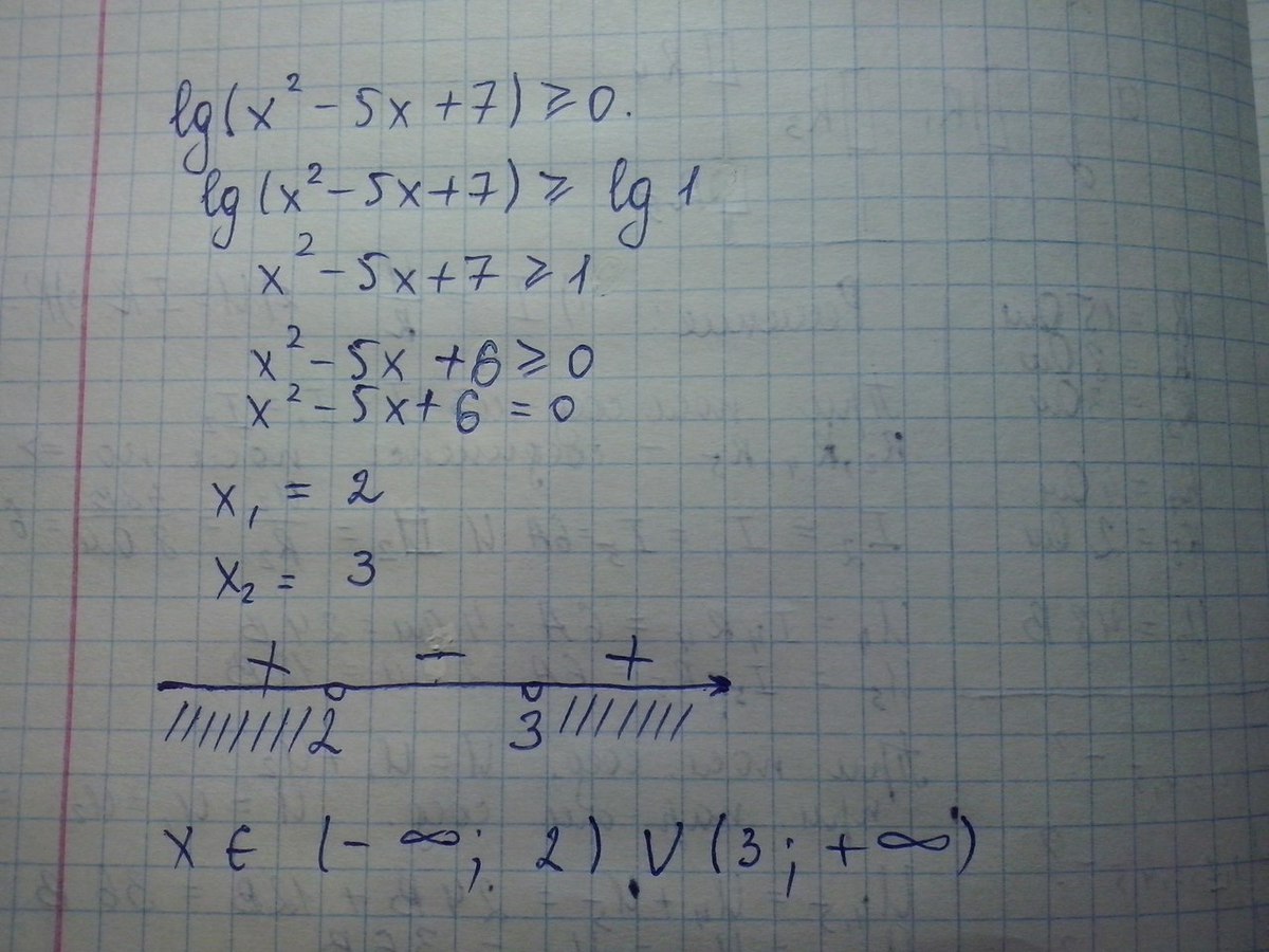
Решить неравенство:
lg(x^-5x+7)>=0

Ответы

Ответ дал: k1598
0
Так как логарифмическое выражение всегда больше нуля, то точки на оси координат не закрашены. 
Приложения:
Ответ дал: GenaPeryatin
0
lg(x^2-5x+7) geq 0\lg(x^2-5x+7) geq lg1\x^2-5x+7 geq 1\x^2-5x+6 geq 0\x^2-5x+6=0\x_1=2\x_2=3
x∈(-∞;2] u [3;∞)
Приложения:
Вас заинтересует