Ответы
Ответ дал:
0
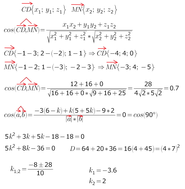
координаты вектора вычисляются как
разность соответствующих координат конца вектора и начала вектора)))
и потом просто подставляются в формулу для косинуса)))
условие перпендикулярности векторов --- это условие
равенства косинуса угла между ними нулю...
дробь равна нулю, если числитель равен нулю, а знаменатель не=0...
разность соответствующих координат конца вектора и начала вектора)))
и потом просто подставляются в формулу для косинуса)))
условие перпендикулярности векторов --- это условие
равенства косинуса угла между ними нулю...
дробь равна нулю, если числитель равен нулю, а знаменатель не=0...
Приложения:
Ответ дал:
0
Спасибо большое!
Ответ дал:
0
на здоровье!!
Ответ дал:
0
Я постоянно путаю буквы,может это очень глупо,но именно поэтому мне эти задачи дали на дом.
Вас заинтересует
3 года назад
3 года назад
8 лет назад
10 лет назад
10 лет назад
11 лет назад