• Предмет: Математика
  • Автор: ololosha12345
  • Вопрос задан 11 лет назад

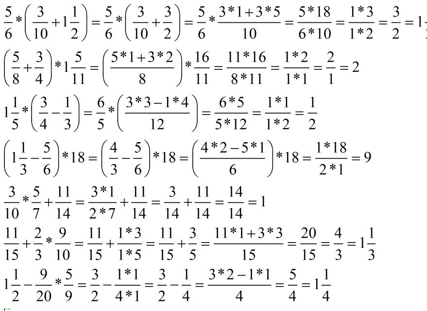
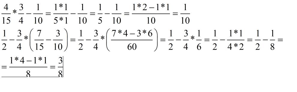
Помогите решить! Моё задание во вложениях!

Приложения:

Ответы

Ответ дал: triolana
0

пиши пока это,а остальное добавлю позже

Приложения:
Вас заинтересует