Ответы
Ответ дал:
0
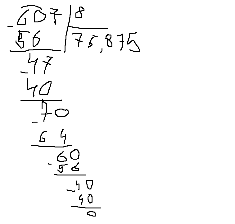
типо так? 607 : 8 = 75,875?
Приложения:

Ответ дал:
0
нет в столбик
Ответ дал:
0
таК?
Вас заинтересует
2 года назад
2 года назад
7 лет назад
7 лет назад
10 лет назад
10 лет назад
10 лет назад