• Предмет: Алгебра
  • Автор: mocor
  • Вопрос задан 10 лет назад

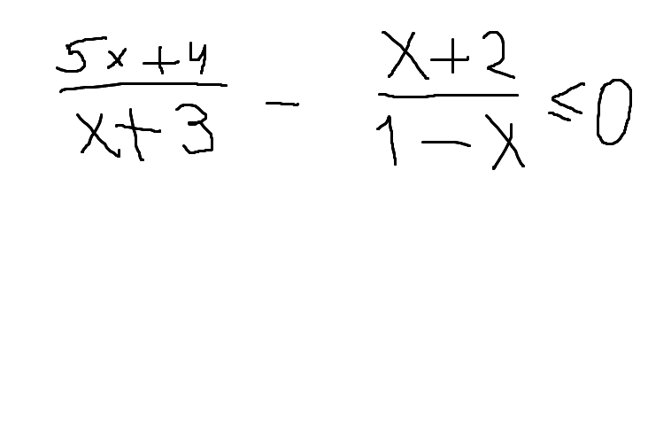
Неравенство, нужно достаточно подробное решение.

Приложения:

Ответы

Ответ дал: Эксперт5
0
 frac{5x+4}{x+3}-  frac{x+2}{1-x}  leq 0\\ frac{(5x+4)(1-x)-(x+2)(x+3)}{(x+3)(1-x)} leq 0\\ frac{5x+4-5x^2-4x-(x^2+5x+6)}{(x+3)(1-x)} leq 0\\ frac{x+4-5x^2-x^2-5x-6}{(x+3)(1-x)} leq 0\\ frac{-6x^2-4x-2}{(x+3)(1-x)} leq 0\\ -frac{2(3x^2+2x+1)}{(x+3)(1-x)} leq 0\\ frac{3x^2+2x+1}{(x+3)(x-1)} leq 0 \\3x^2+2x+1\D=2^2-4*3*1=4-12=-8 textless  0
а=3>0  и  D>0, cледовательно, числитель дроби больше нуля при любом значении переменной х.
             +                                         -                                          +
_______________-3\\\\\\\\\\\\\\\\\\\\1________________

х∈(-3;1)
Ответ дал: mocor
0
Благодарю!
Вас заинтересует