Ответы
Ответ дал:
0
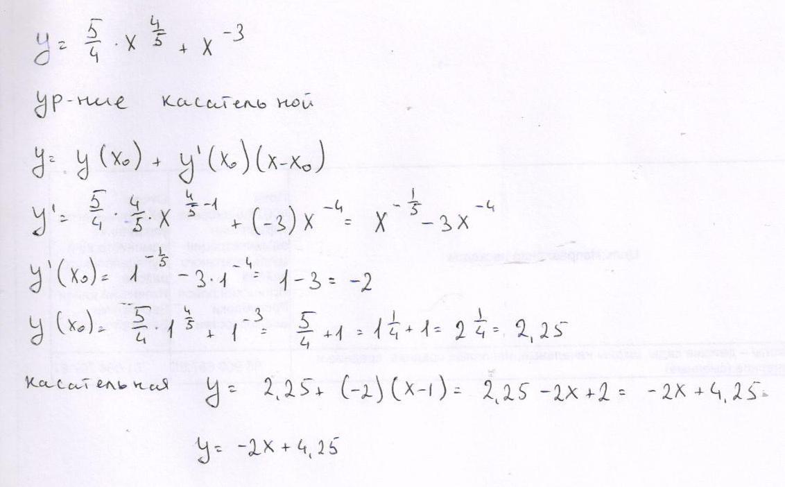
Уравнение касательной в общем виде :
у = у0 + у´(х - х0), где ( х0;у0) - это точка касания.
Наши действия:1) найдём у0
2) найдём производную
3) вычислим её значение в точке х0 =1
4) напишем само уравнение.
Поехали?
1) у0 = 5/4·(1)^4/5 + 1^-3 = 5/4 +1 = 9/4= 2,25
2) у´ =5/4·4/5х^-1/5 -3х^-4 = x^-1/5 - 3x^-4
3) y´ = 1 - 3·1 = -2
4) y = 2,25 -2(x -1)
y = 2,25 -2x +2 = 4,25 -2x
y = -2x + 4,25
у = у0 + у´(х - х0), где ( х0;у0) - это точка касания.
Наши действия:1) найдём у0
2) найдём производную
3) вычислим её значение в точке х0 =1
4) напишем само уравнение.
Поехали?
1) у0 = 5/4·(1)^4/5 + 1^-3 = 5/4 +1 = 9/4= 2,25
2) у´ =5/4·4/5х^-1/5 -3х^-4 = x^-1/5 - 3x^-4
3) y´ = 1 - 3·1 = -2
4) y = 2,25 -2(x -1)
y = 2,25 -2x +2 = 4,25 -2x
y = -2x + 4,25
Ответ дал:
0
см. вложение
\\\\\\\\\\
\\\\\\\\\\
Приложения:

Вас заинтересует
7 лет назад
7 лет назад
10 лет назад
10 лет назад
10 лет назад