Ответы
Ответ дал:
0
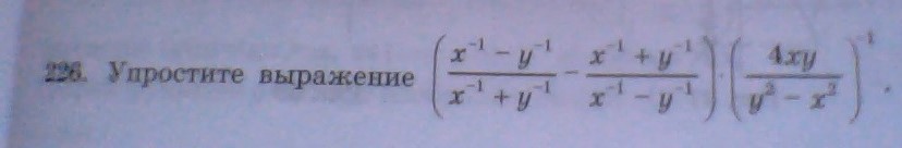
1)(1/x-1/y):(1/x+1/y)=(y-x)/xy:(y+x)/xy=(y-x)/xy*xy/(y+x)=(y-x)/(y+x)
2)(1/x+1/y):(1/x-1/y)=(y+x)/xy:(y-x)/xy=(y+x)/xy*xy/(y-x)=(y+x)/(y-x)
3)(y-x)/(y+x) -(y+x)/(y-x)=(y²-2yx+x²-y²-2yx-x²)/(y²-x²)=-4yx/(y²-x²)
4)[4xy/(y²-x²)]^-1=(y²-x²)/4xy
5)-4yx/(y²-x²)*(y²-x²)/4xy=-1
2)(1/x+1/y):(1/x-1/y)=(y+x)/xy:(y-x)/xy=(y+x)/xy*xy/(y-x)=(y+x)/(y-x)
3)(y-x)/(y+x) -(y+x)/(y-x)=(y²-2yx+x²-y²-2yx-x²)/(y²-x²)=-4yx/(y²-x²)
4)[4xy/(y²-x²)]^-1=(y²-x²)/4xy
5)-4yx/(y²-x²)*(y²-x²)/4xy=-1
Вас заинтересует
3 года назад
3 года назад
8 лет назад
8 лет назад
10 лет назад
10 лет назад
11 лет назад
11 лет назад