Ответы
Ответ дал:
0
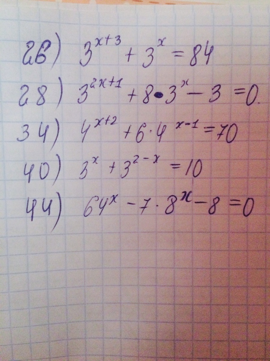
34) аналогично 26) --- нужно просто вынести общий множитель за скобку...
при умножении (степеней с одинаковым основанием))) ---
показатели степени складываются,
при делении --- вычитаются, при возведении в степень --- перемножаются...
28) 40) и 44) --- сводятся к квадратным уравнениям...
64^x = (8^2)^x = 8^(2x) = (8^x)^2
при умножении (степеней с одинаковым основанием))) ---
показатели степени складываются,
при делении --- вычитаются, при возведении в степень --- перемножаются...
28) 40) и 44) --- сводятся к квадратным уравнениям...
64^x = (8^2)^x = 8^(2x) = (8^x)^2
Приложения:

Ответ дал:
0
(4^x)*16 + (4^x)*(3/2) = (4^x)*(35/2)
Ответ дал:
0
4^x = 70*2/35 = 4
Ответ дал:
0
x-1
Ответ дал:
0
х-1 ?
Ответ дал:
0
х=1
Вас заинтересует
2 года назад
2 года назад
7 лет назад
7 лет назад
10 лет назад
10 лет назад
10 лет назад