• Предмет: Математика
  • Автор: IIIoKo1aD1k
  • Вопрос задан 10 лет назад

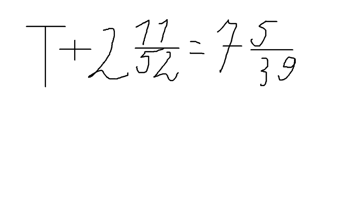
Помогите решить уравнения:

Приложения:

Ответы

Ответ дал: bogdanvartanov
0
 первую дробь сокрашаешь и получается 7 со второй также как целое число следом 7х7=42 вот и все
Ответ дал: ket1121
0
5+3=8
ответ: игрек равен 3
Вас заинтересует