• Предмет: Математика
  • Автор: arturyo
  • Вопрос задан 10 лет назад

Помогите решить 104 пожалуйста

Приложения:

Ответы

Ответ дал: Эксперт5
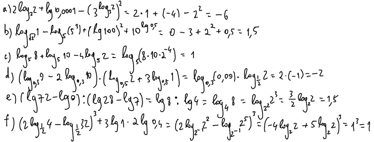
0
Решение в приложении
      ↓
Приложения:
Ответ дал: arturyo
0
СПАСИБО!!!!!!
Ответ дал: nikolac
0
Решения на картинке.
Приложения:
Ответ дал: nikolac
0
Ладно, не видел, что ответ уже добавили
Вас заинтересует