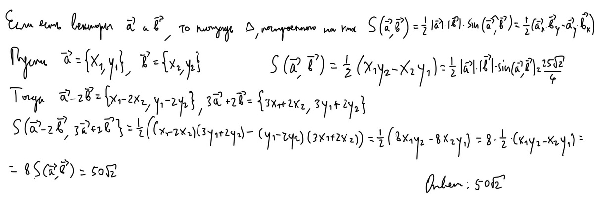
векторы a и b образуют угол 45° . Найдите площадь треугольника , построенного на векторах a -2b и 3a +2b , если |а|=|b| = 5
Ответы
Ответ дал:
0
Решение на картинке. Формула площади через координаты векторов - косое(псевдоскалярное) произведение.
Приложения:

Вас заинтересует
2 года назад
7 лет назад
7 лет назад
10 лет назад
10 лет назад
10 лет назад