• Предмет: Математика
  • Автор: aydan2002
  • Вопрос задан 10 лет назад

Решите уравнения номер 9

Приложения:

Ответы

Ответ дал: tonoyan
0
X^5=32
X^5=2^5
X=2

2⁴*2^x=2^17
4+x=17
X=13
Ответ дал: tonoyan
0
б-???
Ответ дал: 123123999
0
Ответ б неверен
Ответ дал: 123123999
0
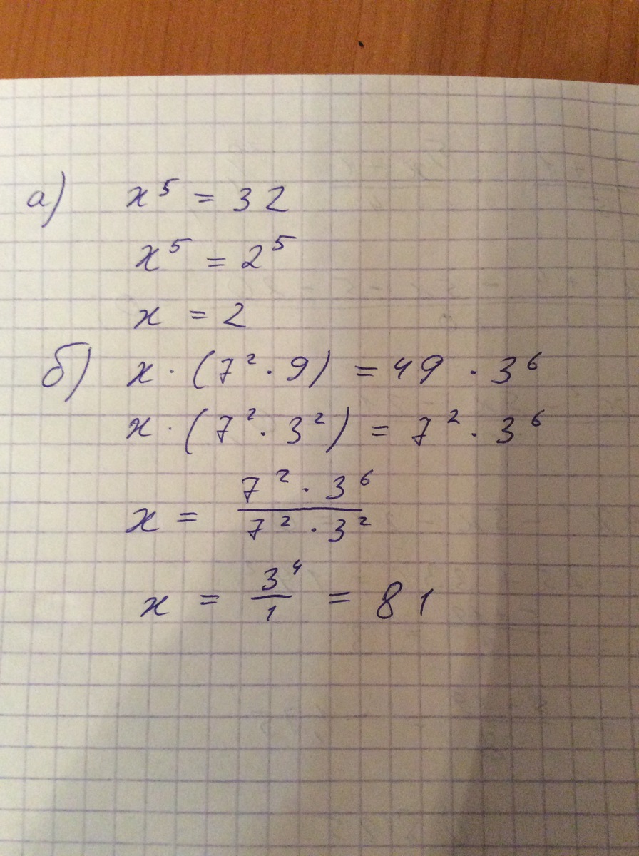
............................
Приложения:
Ответ дал: aydan2002
0
Спасибо большое! Как вы ответ изобразили на картинке?
Ответ дал: 123123999
0
Решил на тетрадке, сфоткал на планшет и перекинул на ноутбук, потом просто прикрепляешь к ответу и все) удачи вам!
Вас заинтересует