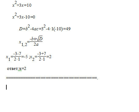
Решите уравнение х в квадрате+3х=10.
Уравнение имеет более одного корня.В ответ запишите больший из корней
Ответы
Ответ дал:
0
===============================================
Приложения:

Вас заинтересует
2 года назад
7 лет назад
7 лет назад
10 лет назад
10 лет назад
10 лет назад