• Предмет: Алгебра
  • Автор: nastya53531
  • Вопрос задан 10 лет назад

Я не могу решить, помогите мне пожалуйста

Приложения:

Ответы

Ответ дал: tisaway
0
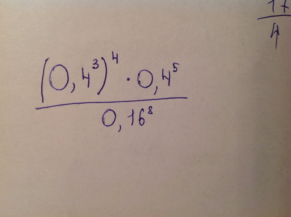
(0,4^3)^4 * 0,4^5 = 0,4^12 * 0,4^5 = 0,4^17 
 0,16^8 = (0,4^2)^8 = 0,4^16
 0,4^17 / 0,4^16 = 0,4^1 = 0,4
Вас заинтересует