Помогите решить пример,по примеру (3) желательно подробно пусть даны вершины треугольника А(-2;-6) В (-3;5) С(4;0)
Приложения:
Ответы
Ответ дал:
0
не думаю, что это домашнее задание для начальной школы...
Ответ дал:
0
это не школьные
Ответ дал:
0
Дано треуг АВС А(-2;-6) В(-3;5) С(4;0)
Найти:
1)длину стороны АВ
2)уравнение стороны АВ и АС в общем виде и их угловой коэффициент
3) угол а
4)Уравнение медианы АД
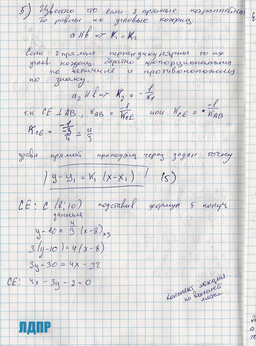
5) уравнение высоты СЕ и ее длину
Решение
1)Расстояние между точкой А (х1,у1) и В(х2,у2)
вычисляют по формуле d=
d=
= 
2) уравнение сторон выглядит так
АВ: у+6 = х+2
5-(-6)= (-3)+2
АВ: у+6=х+2
11 = 1
АВ: у+6=11(х+2)
у+6=11х+22
-11х+у+6-22=0
11х-у+16=0- уравнение прямой АВ
АС: у+6=х+2
0+6=4+2
АС:= у+6=х+2
6= 6
АС:6(у+6)=6(х+2)
у+6=х=2
-х+у+6-2=0
х-у-4=0- уравнение прямой АС
Найти угловые коэф АВ и АС
АВ: 11х-у+16=0 нужно выразить через у
у=11х+16
R ab=11
AC: x-y-4=0 выразим через у
-у=-х+4
у=х-4
Rab=1
4)tgA=R2-R1
1+R1*R2
tgA=Tg*угол
11-1
____________=10/12=>5/6=>
1+(11*1)
tg5/6
5) Д :х=х1+х2 у=у1+у2
2 2
Д: х=1/2 у=-1/2
А(-2;-6)
Д(1/2;-1/2)
у+6 = х+2
-6+0,5 -2-0,5
-2,5(у+6)=-5,5(х+2)
-2,5у-15=-5,5х-11
5,5х-2,5-4=0
6) Ксе=-1/11
у-у1=К*(х-х1)
С(4;0)
у-0=-1/11*(х-4)
у=-1/11х+4/11
1/11х+у-4/11=0
Найти:
1)длину стороны АВ
2)уравнение стороны АВ и АС в общем виде и их угловой коэффициент
3) угол а
4)Уравнение медианы АД
5) уравнение высоты СЕ и ее длину
Решение
1)Расстояние между точкой А (х1,у1) и В(х2,у2)
вычисляют по формуле d=
d=
2) уравнение сторон выглядит так
АВ: у+6 = х+2
5-(-6)= (-3)+2
АВ: у+6=х+2
11 = 1
АВ: у+6=11(х+2)
у+6=11х+22
-11х+у+6-22=0
11х-у+16=0- уравнение прямой АВ
АС: у+6=х+2
0+6=4+2
АС:= у+6=х+2
6= 6
АС:6(у+6)=6(х+2)
у+6=х=2
-х+у+6-2=0
х-у-4=0- уравнение прямой АС
Найти угловые коэф АВ и АС
АВ: 11х-у+16=0 нужно выразить через у
у=11х+16
R ab=11
AC: x-y-4=0 выразим через у
-у=-х+4
у=х-4
Rab=1
4)tgA=R2-R1
1+R1*R2
tgA=Tg*угол
11-1
____________=10/12=>5/6=>
1+(11*1)
tg5/6
5) Д :х=х1+х2 у=у1+у2
2 2
Д: х=1/2 у=-1/2
А(-2;-6)
Д(1/2;-1/2)
у+6 = х+2
-6+0,5 -2-0,5
-2,5(у+6)=-5,5(х+2)
-2,5у-15=-5,5х-11
5,5х-2,5-4=0
6) Ксе=-1/11
у-у1=К*(х-х1)
С(4;0)
у-0=-1/11*(х-4)
у=-1/11х+4/11
1/11х+у-4/11=0
Ответ дал:
0
решила вроде все но объяснения напиши сам я все делала по формулам из твоего образца
Ответ дал:
0
а где цыфра три там только 1,2,4,5,6
Ответ дал:
0
я что то не совсем понял 5 и 6 номер
Вас заинтересует
3 года назад
10 лет назад
11 лет назад