• Предмет: Алгебра
  • Автор: Fannie
  • Вопрос задан 10 лет назад

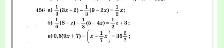
Помогите решить уравнения

Приложения:

Ответы

Ответ дал: ВладимирБ
0
Решение смотри в приложении
Приложения:
Ответ дал: Fannie
0
СПАСИБО ОГРОМНОЕ
Вас заинтересует