• Предмет: Алгебра
  • Автор: vlad88jdan
  • Вопрос задан 10 лет назад

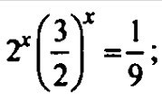
показательное уравнение, подробное решение

Приложения:

Ответы

Ответ дал: ВладимирБ
0
Решение смотри в приложении
Приложения:
Вас заинтересует