Ответы
Ответ дал:
0
(2^2√3-4^√3-1)·2^-2√3=(раскроем скобки)=2^2√3·2^-2√3-4^√3-1·2^-2√3=
=2°-4^√3/4·2^-2√3=1-2^2√3·2-2√3/4=1-2°/4=1-1/4=3/4
=2°-4^√3/4·2^-2√3=1-2^2√3·2-2√3/4=1-2°/4=1-1/4=3/4
Ответ дал:
0
Спасибо Огормное
Ответ дал:
0
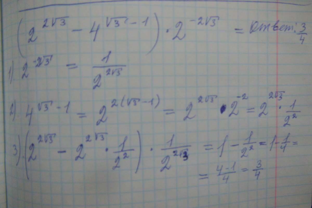
решение в приложении.
Приложения:

Ответ дал:
0
Спасибки большие
Ответ дал:
0
не вспоминайте рогатых.
Ответ дал:
0
??
Вас заинтересует
2 года назад
7 лет назад
10 лет назад
10 лет назад
10 лет назад