• Предмет: Математика
  • Автор: Мятушkа
  • Вопрос задан 10 лет назад

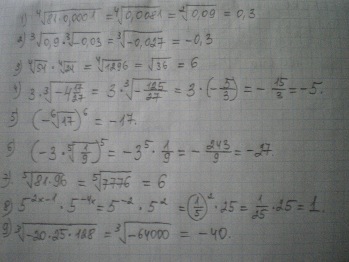
Помогите, пожалуйста, решить. Даю максимальное кол-во баллов!

Приложения:

Ответы

Ответ дал: Пеппер
0
Даю полное решение.
........
Приложения:
Вас заинтересует