• Предмет: Алгебра
  • Автор: abll
  • Вопрос задан 11 лет назад

Упростите выражение и найдите его значение:

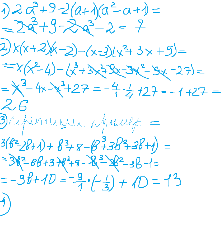
1)2а^3+9 - 2(a+1)(a^2- a + 1)        при а=0,5

2)x(x+2)(x-2) - (x - 3)(x^2 + 3x + 9)      при х=1/4 (это дробь)

3)3(b-1)^2 + (b+2)(b^2 -2b +4) - (b+1)^3    при b = - 1/3 (это дробь)

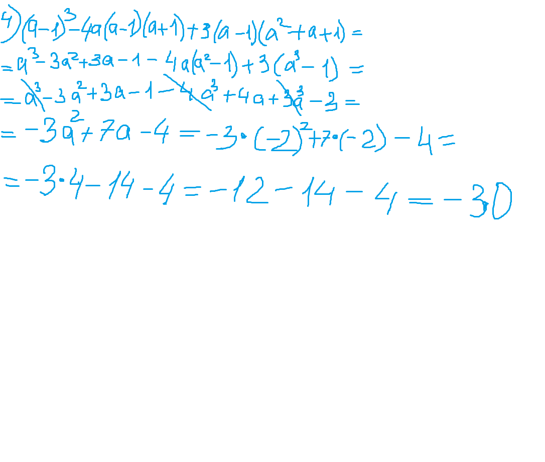
4)(a-1)^3 - 4a(a+1)(a-1) + 3(a-1)(a^2 + a +1)   при а = -2

 

 

Помогите просто не успеваю!

Ответы

Ответ дал: ALEXANDROWA
0

Смотри, я думаю правельно 

Приложения:
Вас заинтересует