• Предмет: Информатика
  • Автор: Аноним
  • Вопрос задан 11 лет назад

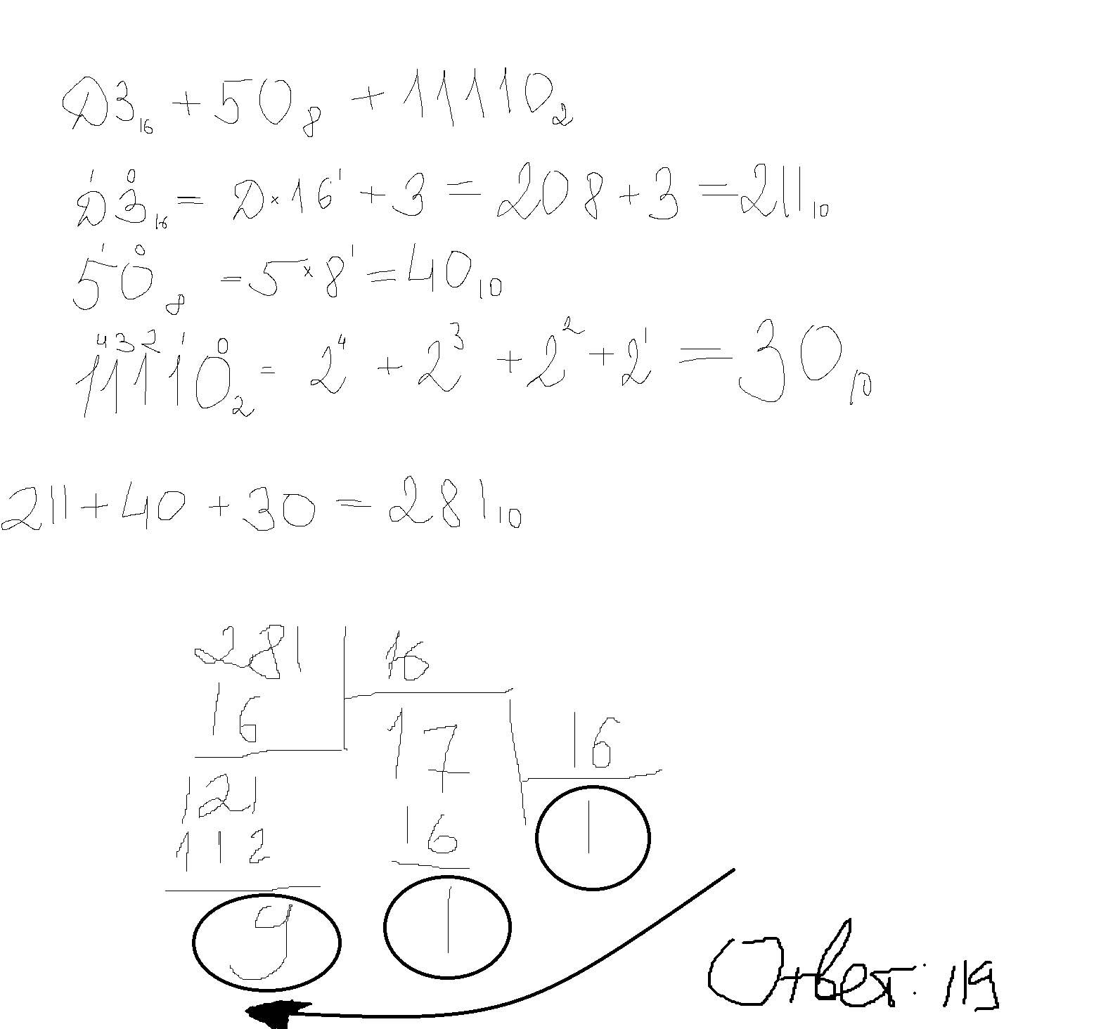
Найдите значение выражения . Ответ дайте в шестнадцатеричной системе счисления : D3(маленькие цифры внизу 16) + 50(маленькими цифрами 8) +11110(маленькими цифрами внизу 2)

Ответы

Ответ дал: informator
0

-------------------------------------------------------------------

Приложения:
Вас заинтересует