• Предмет: Математика
  • Автор: ЕваЕвченко
  • Вопрос задан 10 лет назад

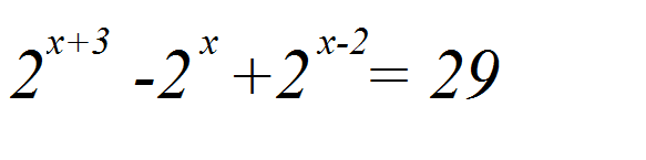
ПОМОГИТЕ РЕШИТЬ ПОКАЗАТЕЛЬНОЕ УРАВНЕНИЕ

Приложения:

Ответы

Ответ дал: NNNLLL54
0
2^{x+3}-2^{x}+2^{x-2}=29\\2^{x}cdot (2^3-1+2^{-2})=29\\2^{x}cdot frac{29}{4}=29\\2^{x}=4\\2^{x}=2^2\\x=2
Вас заинтересует