Ответы
Ответ дал:
0
сначала посчитаем результат в скобках:
102/3-35/28=32,75
1)102/3=34
2)35/28=1,25
3)34-1,25=32,75
дальше можно в любой последовательности либо делить либо умножать:
5/21*32,75=
1)21*32,75=687,75
2)5/687,75=0,007(округлили до тысячных)
ну а если же там не 5 а 95 то:
2)95/687,75=0,14(округлили до сотых)
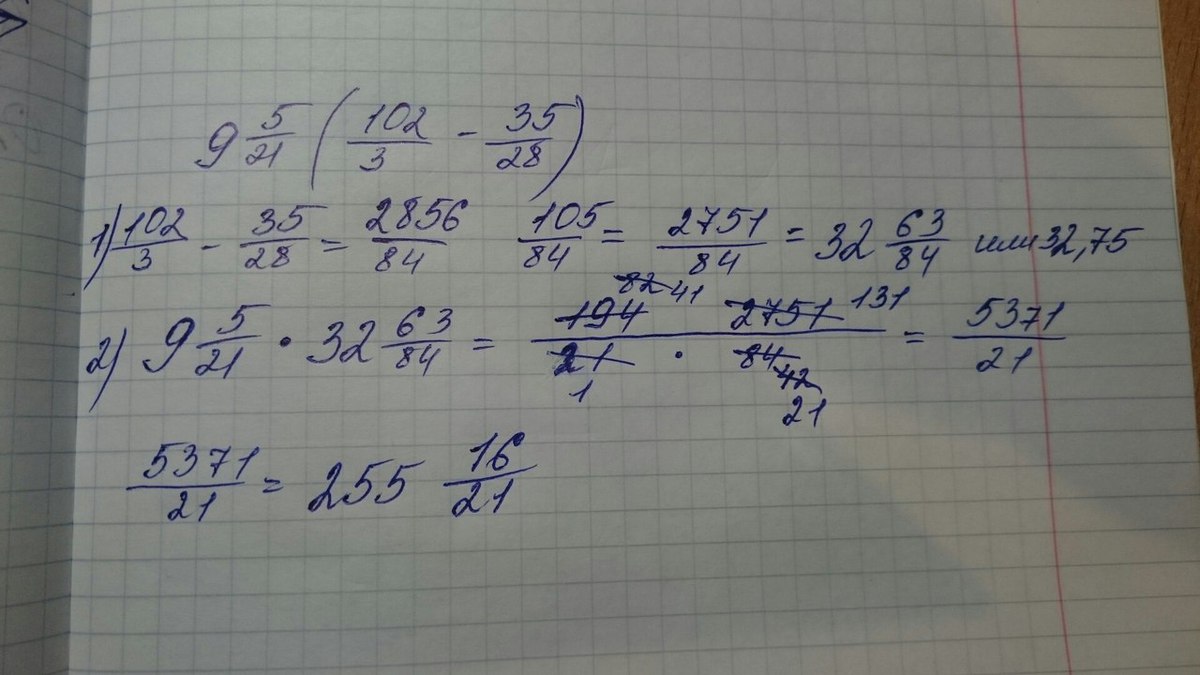
Хорошо, если это дроби то это будет выглядеть так: см в приложение
102/3-35/28=32,75
1)102/3=34
2)35/28=1,25
3)34-1,25=32,75
дальше можно в любой последовательности либо делить либо умножать:
5/21*32,75=
1)21*32,75=687,75
2)5/687,75=0,007(округлили до тысячных)
ну а если же там не 5 а 95 то:
2)95/687,75=0,14(округлили до сотых)
Хорошо, если это дроби то это будет выглядеть так: см в приложение
Приложения:
Ответ дал:
0
спасибо но у нвс дроби
Ответ дал:
0
См приложение
Вас заинтересует
3 года назад
3 года назад
8 лет назад
8 лет назад
10 лет назад
10 лет назад
11 лет назад