• Предмет: Физика
  • Автор: Eleha11
  • Вопрос задан 10 лет назад

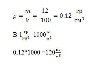
Самое легкое дерево -бальза.Масса древесины этого дерева равна 12г при обьеме 100см/3.Определите плотность древесины в граммах на сантиметр кубический (г/см3) и килограммах на метр кубический (кг/м/3)....Помогите срочно!!!""""""!!!!!!!!

Ответы

Ответ дал: anikonovaolga
0
  В 1=1000   0,12*1000 =120  
Приложения:
Ответ дал: anikonovaolga
0
полный ответ в картинке
Ответ дал: Eleha11
0
спасибо...
Вас заинтересует