Ответы
Ответ дал:
0
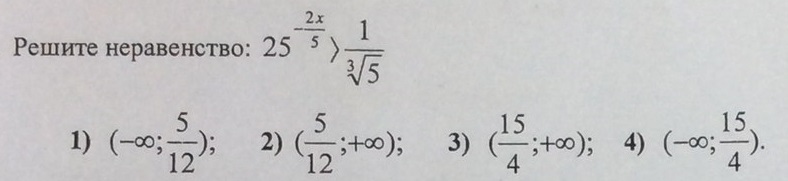
25^(2x/5)>1/(³√5)
(5²)^(2x/5)>5¹/³
5^(4x/5)>5¹/³ показательное неравенство
основание а=5, 5>1. знак неравенства не меняем
4x/5>1/3 |*15
12x>5, x>5/12
x∈(5/12;∞)
(5²)^(2x/5)>5¹/³
5^(4x/5)>5¹/³ показательное неравенство
основание а=5, 5>1. знак неравенства не меняем
4x/5>1/3 |*15
12x>5, x>5/12
x∈(5/12;∞)
Ответ дал:
0
ответ 2?
Вас заинтересует
2 года назад
8 лет назад
8 лет назад
10 лет назад
10 лет назад