Ответы
Ответ дал:
0
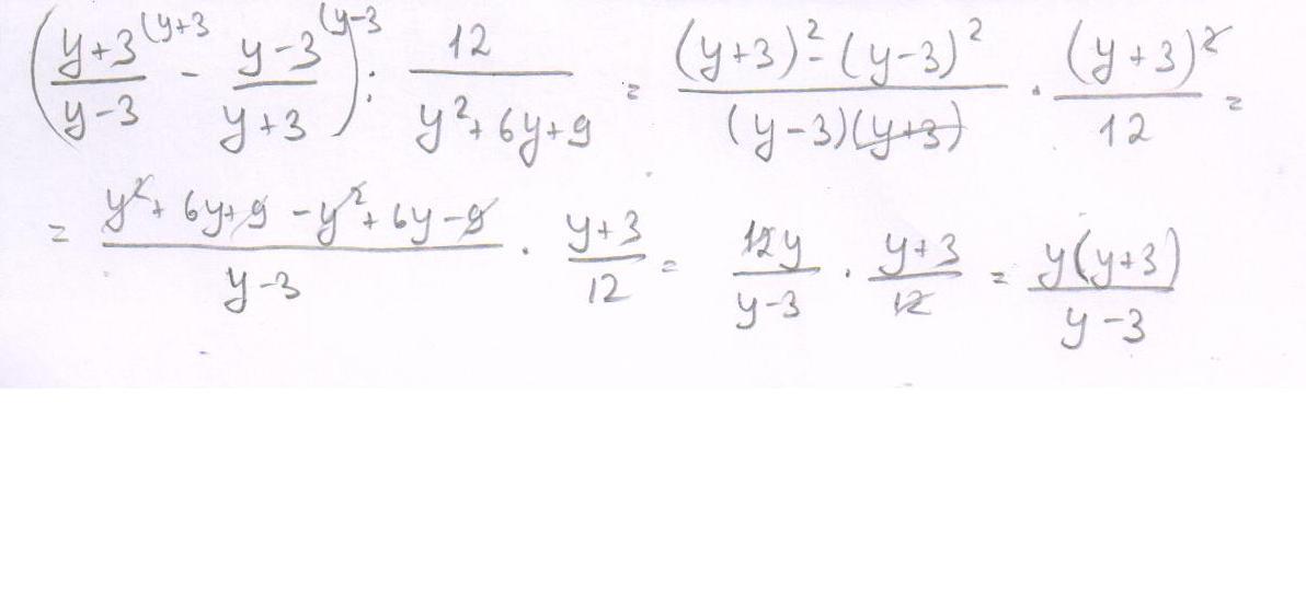
см. вложение
\\\\\\\\\\\\
\\\\\\\\\\\\
Приложения:

Вас заинтересует
2 года назад
2 года назад
10 лет назад
10 лет назад