• Предмет: Алгебра
  • Автор: JuliaKaR
  • Вопрос задан 10 лет назад

ПОМОГИТЕЕ!
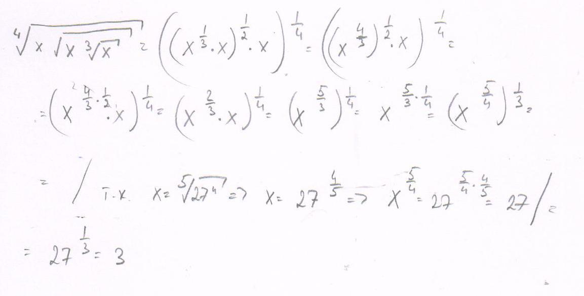
Корень n-ой степени
Задание 6, вариант 2
10 класс

Приложения:

Ответы

Ответ дал: ewgenijbark
0
см. вложение
\\\\\\\\\\\
Приложения:
Ответ дал: ВладимирБ
0
Решение смотри в приложении
Приложения:
Вас заинтересует