• Предмет: Алгебра
  • Автор: Лиза1502
  • Вопрос задан 11 лет назад

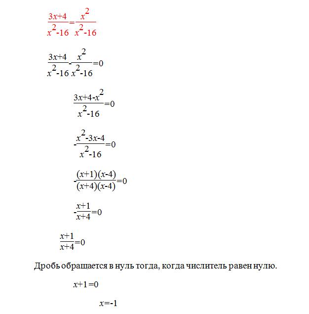
Решите уравнения:1,2по теме: Решение дробных рациональных уравнений Смотрите во вложениях!!!

Приложения:

Ответы

Ответ дал: triolana
0

==================================================================

Приложения:
Вас заинтересует