Пожалуйста помогите)Заранее благодарна
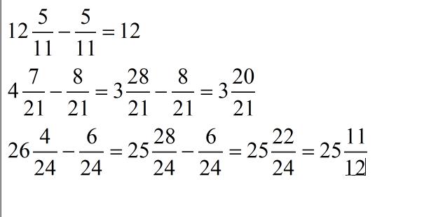
12 целых пять одиннадцатых - пять одиннадцатых =...
4 целых семь двадцать первых - восемь двадцать первых= .....
26 целых четыре двадцать четвёртых - шесть двадцать четвёртых = ......
Ответы
Ответ дал:
0
================================================
Приложения:

Вас заинтересует
2 года назад
2 года назад
8 лет назад
8 лет назад
10 лет назад
10 лет назад
10 лет назад