Ответы
Ответ дал:
0
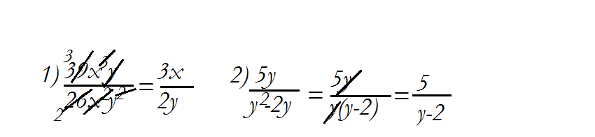
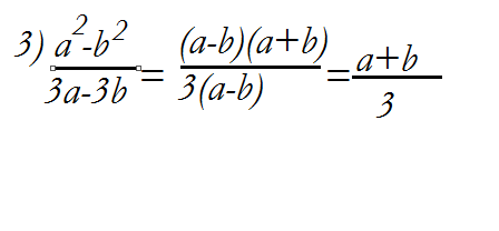
Решение на фото,если не понятно скажи))))))))))))))))))
Приложения:


Ответ дал:
0
Рада помочь!
Ответ дал:
0
можешь еще 1 номер решить?
Ответ дал:
0
Какой?
Ответ дал:
0
сейча я выставлю
Ответ дал:
0
Ладно
Вас заинтересует
2 года назад
7 лет назад
7 лет назад
10 лет назад
10 лет назад
10 лет назад