• Предмет: Физика
  • Автор: Аноним
  • Вопрос задан 11 лет назад

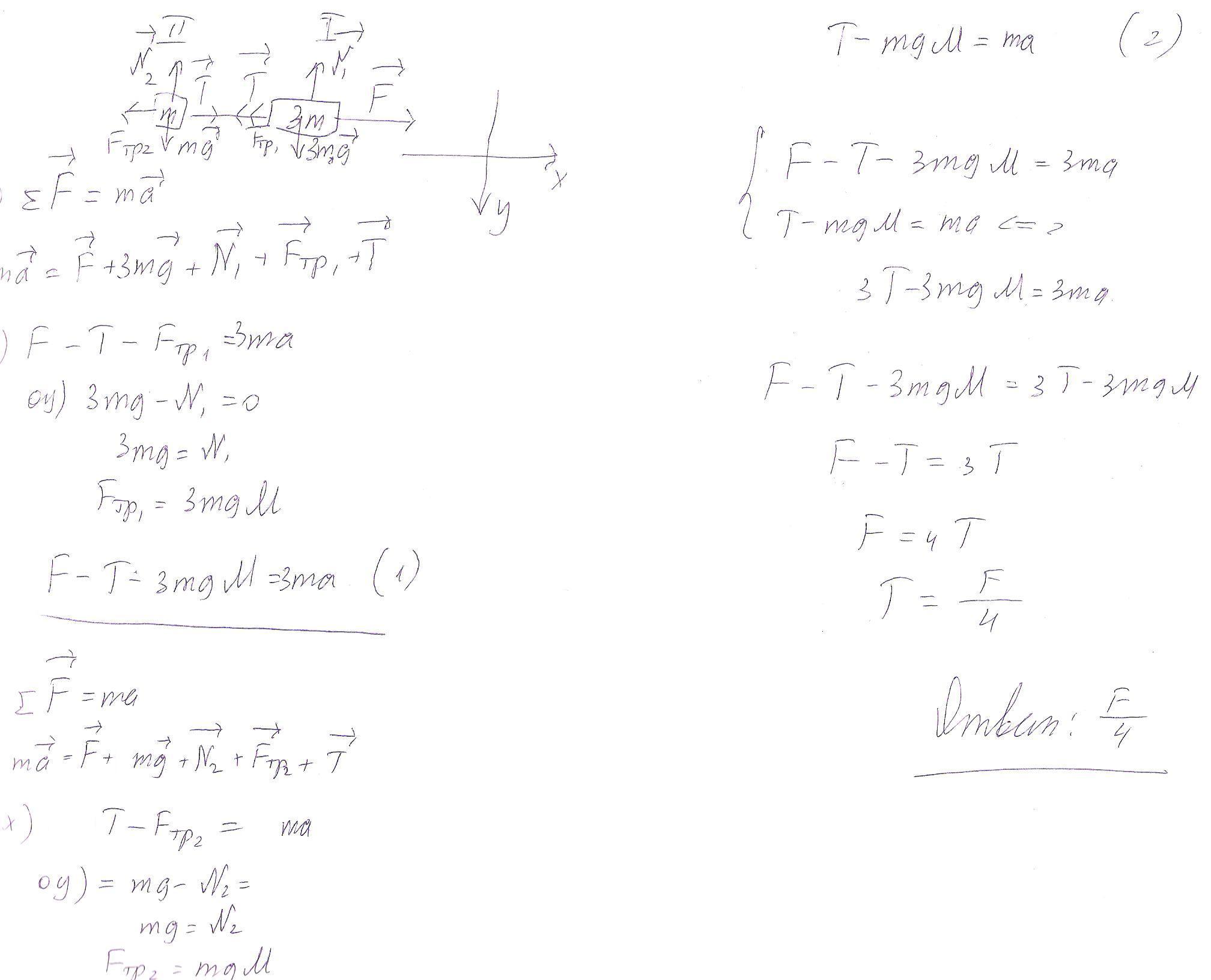
два тела массами m и 3m соединенных невесомой нерастяжимой нитью движутся с ускорением а под действием силы F приложенной к телу массой 3m. Сила натяжения нити равна?

 

 

 

 

 

 

 

ответ F/4

Ответы

Ответ дал: Artem112
0

надеюсь будет понятно....

Приложения:
Вас заинтересует