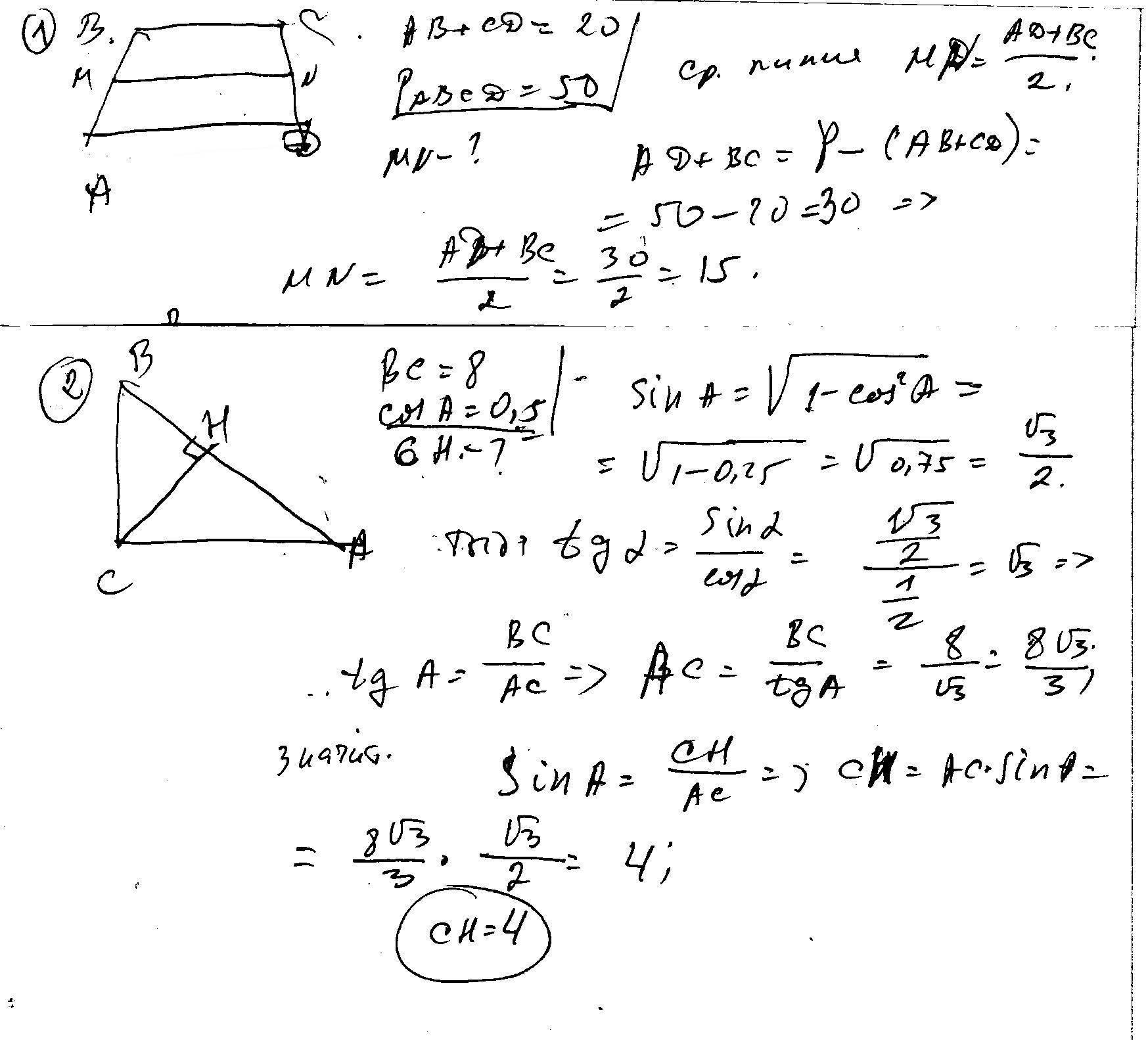
№ 1. Периметр трапеции равен 50, а сумма непараллельных сторон равна 20. Найдите среднюю линию трапеции.
№2 В треугольнике ABC угол C равен 90 градусам, BC = 8, cosA = 0,5. Найдите высоту CH.
Ответы
Ответ дал:
0
№ 1. Периметр трапеции равен 50, а сумма непараллельных сторон равна 20. Найдите среднюю линию трапеции.
№2 В треугольнике ABC угол C равен 90 градусам, BC = 8, cosA = 0,5. Найдите высоту CH.
Приложения:
Вас заинтересует
3 года назад
3 года назад
8 лет назад
8 лет назад
11 лет назад
11 лет назад
11 лет назад